欧阳通《泉男生墓志》,高清字帖。

说起楷书大家,喜欢书法的朋友都知道初唐大家欧阳询,特别是他的《九成宫》直到现在仍是大家学习楷书的首选取法对象。可是你知道吗?在欧阳询的家族中,传世的书法家不止欧阳询一人,他的儿子欧阳通的楷书同样精妙,并且从书风上一看就知道是欧阳询的真传。下面,我们就一起来欣赏一下欧阳通的经典楷书《泉男生墓志》,看看他是怎么传承和演绎欧体楷书的。
:hover{text-decoration:none;}/*pc样式*/.pgc-card{box-sizing:border-box;height:164px;border:1pxsolide8e8e8;height:120px;position:absolute;right:76px;top:20px;}.pgc-cover{position:absolute;width:162px;height:162px;top:0;left:0;background-size:cover;}.pgc-content{overflow:hidden;position:relative;top:50%;-webkit-transform:translateY(-50%);transform:translateY(-50%);}.pgc-content-title{font-size:18px;color:444;overflow:hidden;text-overflow:ellipsis;padding-top:9px;overflow:hidden;line-height:1.2em;display:-webkit-inline-box;-webkit-line-clamp:2;-webkit-box-orient:vertical;}.pgc-content-price{font-size:22px;color:406599;font-size:14px;text-align:center;}.pgc-buy-text{padding-top:10px;}.pgc-icon-buy{height:23px;width:20px;display:inline-block;background:url();}38唐欧阳通道因法师碑中华历代传世碑帖集萃毛笔书法教程泉男生
¥22.8
购买
:hover{text-decoration:none;}/*pc样式*/.pgc-card{box-sizing:border-box;height:164px;border:1pxsolide8e8e8;height:120px;position:absolute;right:76px;top:20px;}.pgc-cover{position:absolute;width:162px;height:162px;top:0;left:0;background-size:cover;}.pgc-content{overflow:hidden;position:relative;top:50%;-webkit-transform:translateY(-50%);transform:translateY(-50%);}.pgc-content-title{font-size:18px;color:444;overflow:hidden;text-overflow:ellipsis;padding-top:9px;overflow:hidden;line-height:1.2em;display:-webkit-inline-box;-webkit-line-clamp:2;-webkit-box-orient:vertical;}.pgc-content-price{font-size:22px;color:406599;font-size:14px;text-align:center;}.pgc-buy-text{padding-top:10px;}.pgc-icon-buy{height:23px;width:20px;display:inline-block;background:url();}欧阳通《道因法师碑》集联百副
¥37.1
购买
首先,我们还是简单的介绍一下欧阳通把。欧阳通是欧阳询的第四个儿子,得益于父亲的书法才华,所以自小就跟随父亲欧阳询苦练书法,并且在后来取得了相当的成就,成为唐代著名的书法名家,后世将他们父子俩放在一起,并称为“大小欧”。
从欧阳通的这篇楷书《泉男生墓志》来看,欧阳通的书法风格基本上还是延续和继承了欧阳询的风格,字里行间满满的《九成宫》的影子。其实这很好理解,毕竟人家自小就跟随父亲欧阳询练字,如果写出来是颜真卿的风格那就奇怪了。
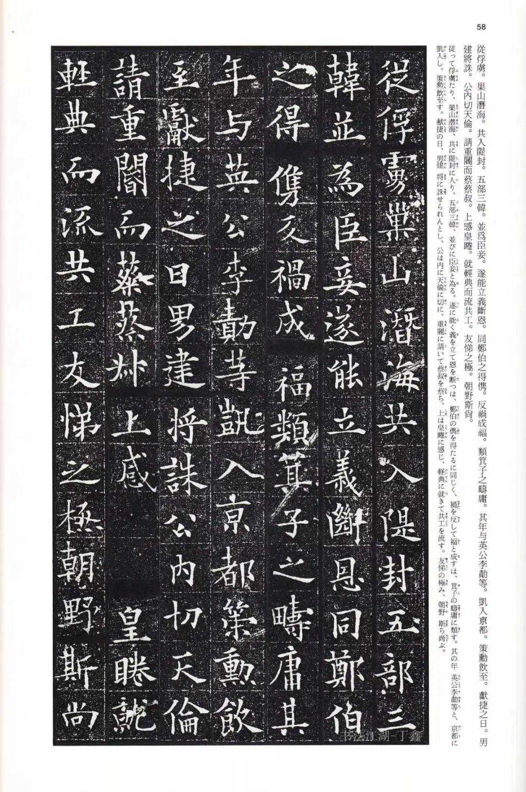
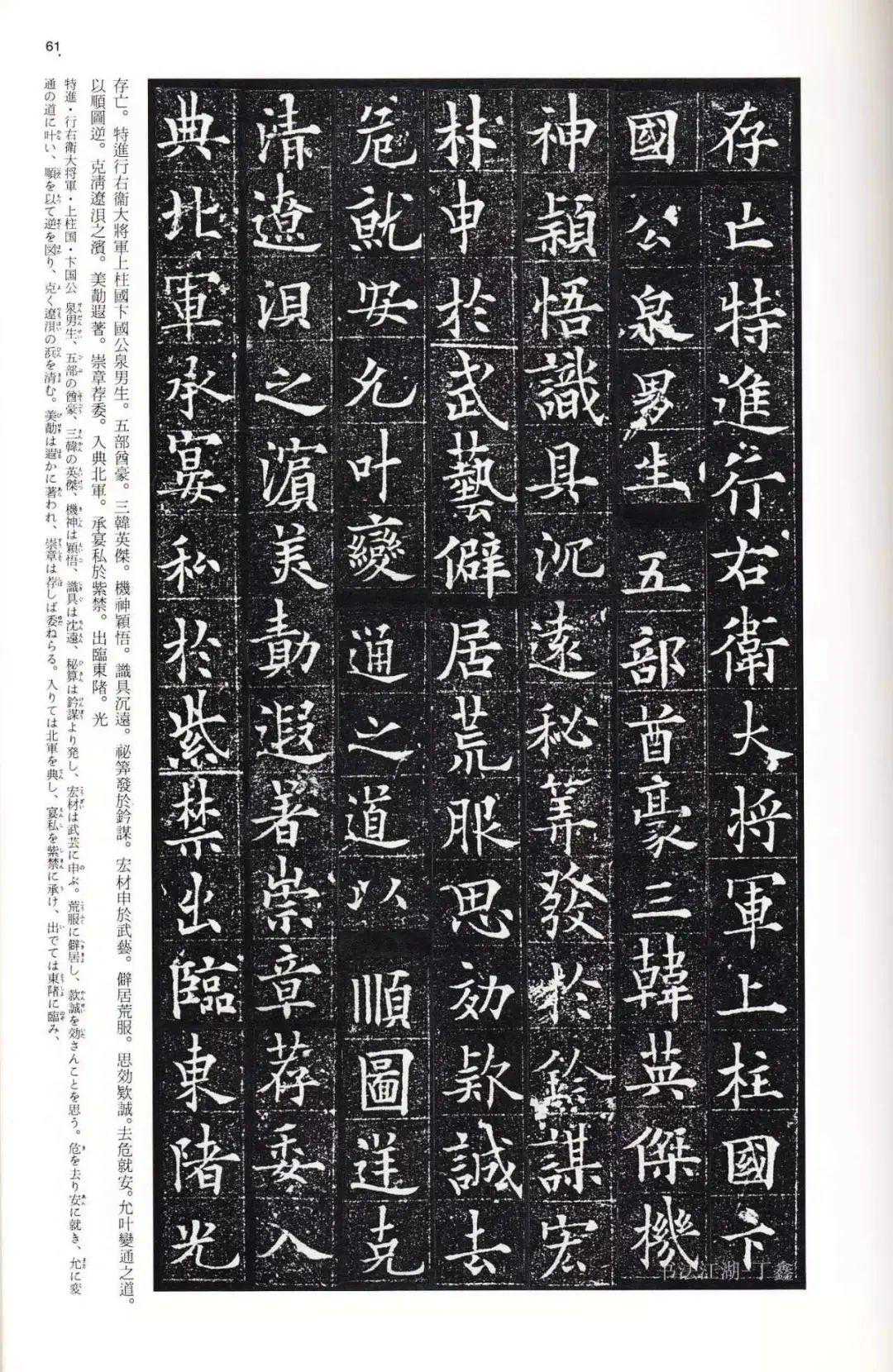
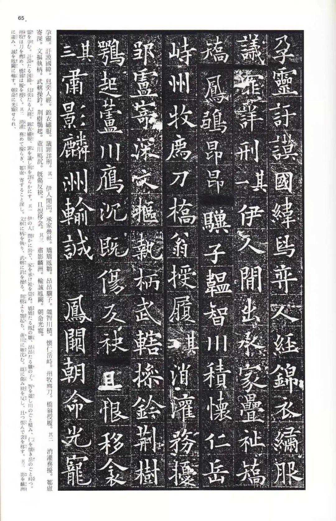
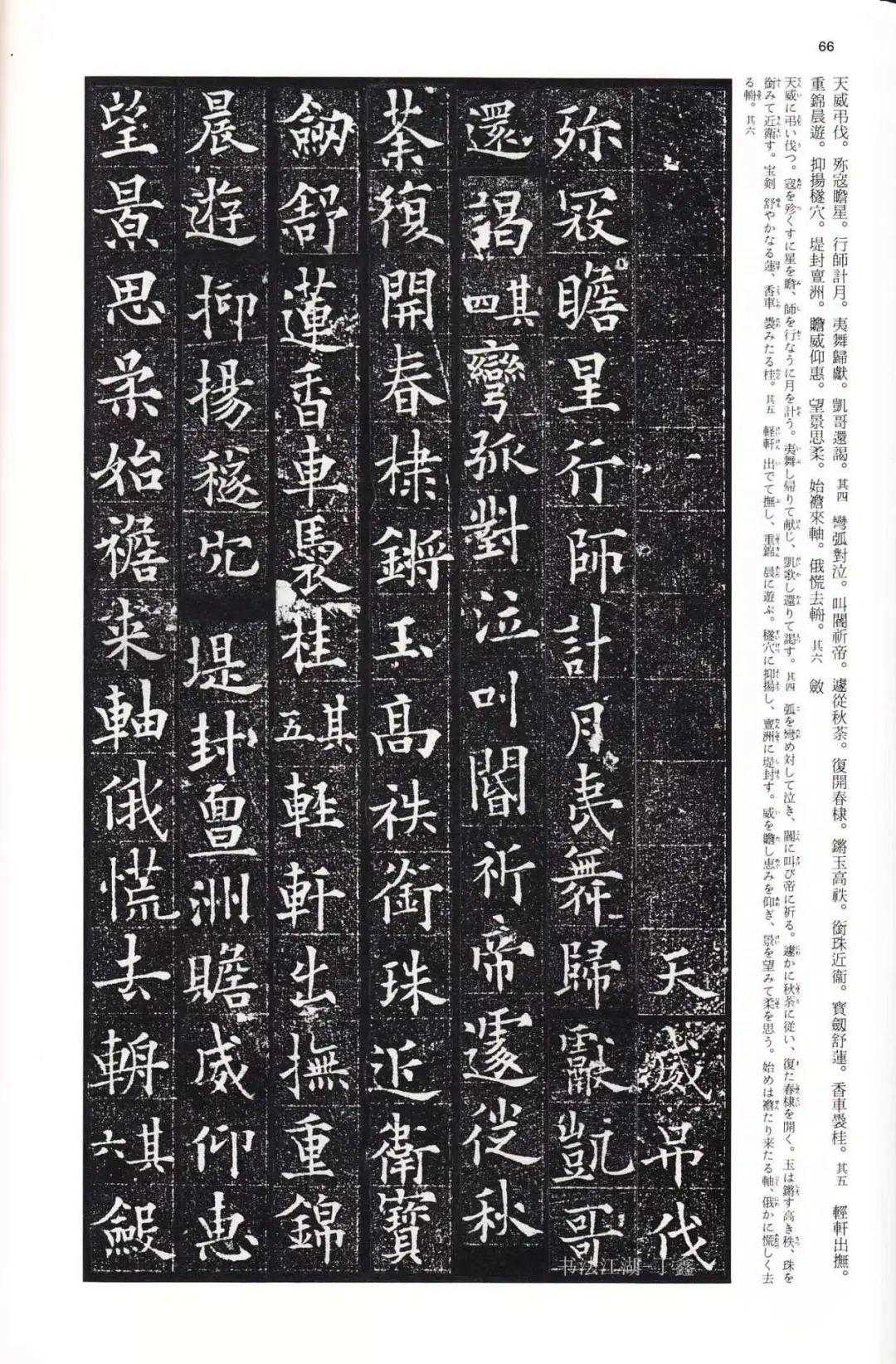
《泉男生墓志》,唐代正书石刻。王德贞撰文,欧阳通书,调露元年刻。1921年在河南洛阳城北东岭头村出土。曾归陶北溟,北溟欲转售日本人,为张风台以千元截回。后藏河南开封市博物馆。高92、宽91、厚12厘米,其上篆书“大唐故特进泉君墓志”。志文正书,首题“大唐故特进行右卫大将军兼检校右羽林军仗内供奉上柱国卞国公赠并州大都督泉君墓志铭并序”。文凡四十六行,满行四十七字。书法严整峻美,恣肆奇倔,有其父欧阳询之风。此刻晚于《道因法师碑》十六年,故书益臻苍劲。有中华书局石印本,原石现藏河南省图书馆。
志文着重论述了志主泉男生一生所历其事其迹。泉男生本为高丽国人,入唐后高丽国亡,唐帝国在此设郡立县,故志中称其为“辽东郡平壤人也”。泉男生二十八岁时继位莫离支兼授三军大将军。三十二岁时,”加莫离支,总录军国,阿衡元首“。后其弟男产,男建相互嫉恨,各树朋党,阴斗争权,男生被二弟所逐,遂“遣子献诚”入唐求援。唐高宗命男生为“平壤道行军大总管、兼使持节安抚大使”,并派铁靳人契必何力及李勣等出兵援助,迫使其弟难产投降,男建被俘,从而使大唐帝国在高丽设置“都督府九、州四十二、县一百,又置安东都护府以统之。”泉男生也是因之晋为右卫大将军兼校右羽林军、上柱国、卞国公,赠并州大都督。
























局部高清




欧阳通和欧阳询的书风到底有多像呢?我们通过一些细节来具体了解一下。通过上图的片段我们可以看出,欧阳通的用笔可以说是完全继承了欧阳询,无论是行笔的方式还是最终呈现出来的笔画的形态,都和欧阳询如出一辙。说是相似,但也不能百分百相同,欧阳通的有些转折处更加厚重圆润一些,另外,有一些具体的笔画在骨力方面比欧阳询略逊一筹,姿态上多了一点妩媚秀气。
了解完用笔,我们再来看看结体。从这篇楷书《泉男生墓志》可以看出,欧阳通的结体同样是大量吸收了欧阳询的精髓,结体纵向挺拔,紧凑有力,虽然在严谨性上比不过欧阳询,但是却多了几分潇洒和灵动。
纵观整个书法史,父子都是传世书法家的例子不止他们俩,影响力最大的当属书圣王羲之和他的儿子王献之。为什么同为名家之后代,王献之的影响力比欧阳通大呢?抛开书法水平不说,王献之在书法方面的成就不单单是传承那么简单,重要的是能在传承的基础上突破创新,从而打造处真正属于自己的一片天地。欧阳通的书法造诣虽然深厚,但从根源上还是未能摆脱欧阳询的影子,突破创新方面要稍微差些,影响力也就稍微弱了一些,试想,如果欧阳通能够在其父的基础上完成突破的话,放到现在来看,肯定又是另外一番崭新的局面。







